(5√8)(3√2)(√26) when simplified is (i)positive and irrational (ii)Nagetive and Irrational (iii)Positive and National (iv)Nagetive and Rational Its a 1 mark question from CBSE SA1(11), and as you can see, its a MCQ I want know the answer as 9 Write a pair of irrational numbers whose difference is irrational Answer √3 2 and √2 – 3 are two irrational numbers whose difference is irrational (√3 2) – (√2 – 3) = √3 – √2 2 3 = √3 – √2 5 which is irrational 10Write a pair ofRS Aggarwal Solutions for Class 10 Maths Chapter 11 Trigonometric Ratios of Some Particular Angles Question 5 Solution We know that, cos 30° = √3/2 ⇨ cos2 30° = 3/4 cos 60° = 1/2 ⇨ cos2 60° = 1/4 sec 30° =(2/√3) ⇨ sec2 30° = 4/3 tan 45° = 1
Laws Of Exponents Exponent Rules Exponent Laws Definition Examples
Add 2√3-5√2 and √3 2√2 class 9
Add 2√3-5√2 and √3 2√2 class 9-Find any two irrational numbers between (i) and (ii) 6/7 and 12/13 (iii) √2 and √3 9 Which of the following is equal to x 2?



Add 2 3 5 2 And 3 2 2
Maths Class 9 Number Systems Find the values of a and b if (2√5 √3)/(2√5 √3) (2√5 √3)/(2√5 √3) = a √15 b🔶Our Playlists for Class 9Example √12 is simpler as 2√3 Get your calculator and check if you want they are both the same value!Given Diameter of semicircle = 14√2 cm Radius = 14√2/2 = 7√2 cm Total no of chords = 6 Concept Since the chords are equal in length, they will subtend equal angles at the centre
Copyright Moss Frog Maths 18 √ √150 Surds 1 Simplifying Surds Answers √15 √10x √3 √x 5 √2x √5 √5 x √5 xx√3 √2 5 x √6The addition or the multiplication of two irrational numbers may be rational The set of irrational numbers is not closed under the multiplication process, unlike the set of rational numbers Given √3 √5 To prove √3 √5 is an irrational number Let us assume that√3 √5 is a rational number So it can be written in the form a/b √3 √5 = a/b Simplify √ (45) First, you can factor it out to get √ (9 x 5) Then, you can pull out a "3" from the perfect square, "9," and make it the coefficient of the radical So, √ (45) = 3√5 Now, just add up the coefficients of the two terms with matching radicands to get your answer 3√5 4√5 = 7√5 2 Do Example 2
Share with your friends Share 0 5 8 3226 = 5 2 × 2 MCQ Questions for Class 9 Maths Chapter 1 Number System with Answers MCQs from Class 9 Maths Chapter 1 – Number System are provided here to help students prepare for their upcoming Maths exam MCQs from CBSE Class 9 Maths Chapter 1 Number System 1 Can we write 0 in the form of p/q? rationalising denominator of irrational number add (3√27√3) and (√2−5√3) you are here divide 5√11 by 3√33 multiply 2√15 by 7√5 simplify (√5√7)^2 simplify (√4−√13) (√4√13) simplify (9−√3) (9√3) simplify (3√5−5√2) (4√53√2) rationalise the denominator of 8/√7 rationalise the denominator of 1/ ( (8 5√2)) simplify (7√3)/ (√10 √3)− (2√5)/ (√6



Ml Aggarwal Solutions For Class 9 Chapter 1 Rational And Irrational Numbers Avail Free Pdf



How To Calculate 2 3 2 Quora
0 0 Find All solutions for this book RS Agarwal RS Agarwal Exercise 1D Similar questions If a= 14 18 ,b= 15 17 , thenLike terms Calculator online with solution and steps Detailed step by step solutions to your Like terms problems online with our math solver and calculator Solved exercises of Like terms0以上 add 2√35√2 and √3 2√2 class 9 Practise Question for Number System class 9th Anshul Kumar Q1 Find five rational numbers between 1 and 2 Solution We have to find five rational numbers between 1 and 2 So, let us write the numbers with denominator 5 1 = 6 Q10 Add 2 √ 2 5 √ 3 andQuickMath will automatically answer the



Sum And Difference Identities Precalculus Ii



Kseeb Solutions For Class 9 Maths Chapter 1 Number Systems Ex 1 5 Kseeb Solutions
SECTION 122 ADD AND SUBTRACT RADICALS Note In this class, we will only consider the principal √1 = 1 √121 = 11 √4 = 2 √625 = 25 √9 = 3 √−81 is not a real number The final example √−81 is not a real number Since square root has the index is 2, which is even, the Transcript Example 13 Add 2 √2 5 √3 and √2 3 √3 Here, both numbers have root in it So, we combine the numbers with the same root Combining 2 √2 & √2 and 5√3 & 3 √3, and then solving 2 √2 5 √3 √2 – 3 √3 = (2 √2 √2)Answer (3) 3√3 It is an example of adding two irrational numbers 2√3 √3 We can see that there are two terms that contain two √3, one with coefficient 2 and the other with coefficient 1, and there would be 2 1 = 3 On taking out √3 as common factor √3 (21) = √3 (3) = 3√3 2√3 √3 = 3√3 Was this answer helpful?



Add 2 3 5 2 And 3 2 2 Brainly In



Simplify 7 3 10 3 2 5 6 5 3 2 15 3 2 V
9 yadi √2 = 1414 hai to √8 √50 √72 √98 ka maan gyaat keejie Ask your doubts and share your knowledge with your friends and other users through Discussion Forum Ask any questions related to NCERT Books or covering CBSE Syllabus∴2cos𝜃=−1 and 2sin𝜃=−√3 ⇒cos𝜃=−1 2 and sin𝜃=−√3 2 Since both the values of sin𝜃 and cos𝜃 are negative and sin𝜃 and cos𝜃 are negative in III quadrant, Argument=−(𝜋− 𝜋 3)= −2𝜋 3 Therefore, the modulus and argument of the complex number −1−√3𝑖are 2 and −2𝜋 3 respectively Login Create Account Class9 » Maths Number Systems (5√8)(3√2)(√26) When simplified Pls answer fast!!



Simplify 3 1 3 3 5 1 10 Of 2 1 2 7 4



Chapter 1
selected by vikash gupta Best answer (i) (√5 √2) 2 We need to apply the formula (a b) 2 = a 2 2ab b 2 to find value of (√5 √2) 2 (√5 √2) 2 = (√5) 2 2 x √5 x √2 (√2) 2 = 5 2√10 2 = 7 2√10 Therefore, on simplifying (√5 √2) 2, we get 72√0 (ii) (√5 √2) (√5 √2)Weekly Subscription $299 USD per week until cancelled Monthly Subscription $799 USD per month until cancelled Annual Subscription $3499 USD per year until cancelled Balbharti Maharashtra State Board Class 10 Maths Solutions covers the Practice Set 23 Algebra 10th Class Maths Part 1 Answers Solutions Chapter 2 Quadratic ∴ The roots of the given quadratic equation are √6 1 and – √6 1 3 m 2 – 5m = 3 ∴ m 2 – 5m 3 = 0 If m 2 – 5m k = (m a) 2, then m 2 – 5m k = m 2 2am a 2



Real Numbers Geeksforgeeks



What Is The Sum Of 1 3 5 7 9 11 13 15 17 19 21 23 25 27 29 31 95 97 99 Quora
Analyze and answer the following Show your solution 1 Discuss what is wrong with the following answers of students 7 8√5 − 4√2 = 4√3 8 6 5√3 = 11√3 9 7 − 2√6 = 5√6 2 The length of a rectangle is and the width is Express the perimeter of the rectangle in simplest radical form 3Answer (d) a) 1/4 b) 1/2 c) 4 d) 1/16 Answer (b) Answer (b) 12 What would be the denominator after rationalizing 7/(5√3 5√2)?We know that 2√5 = `sqrt( 4 xx 5 )` = √ and 3√3 = √ Thus, We have, √ < √21 < √22 < √23 < √24 < √25 < √26 < √27 So any five irrational



2



Add I 2sqrt 3 5sqrt 2 And Sqrt 3 2sqrt 2 Ii 2sqrt 2 5sqrt 3 7 Sqrt 5 And 3sqrt 3 Sqrt 2 Sqrt 5 Iii 2 3 Sqrt 7 1 2 Sqrt 2 6sqrt 11 And 1 3 Sqrt 7 3 2 Sqrt 11
Number Systems Class 9 Simplify √5 √ √45√27 3 √1221√384 8 √96√48 √72 √27 2√18Maths Class 9 Number Systems 🔶Our Playlists for Class 9Nov 27,21 how to solve √32√2 EduRev Class 9 Question is disucussed on EduRev Study Group by 122 Class 9 StudentsHere is the rule when a and b are not negative Now both terms have √3, we can add them 4√3 9√3 = (49)√3 = 13√3 Surds Note a root



Solving Quadratics By Taking Square Roots Examples Video Khan Academy



A Rational Number Is Such That When You Multiply It By 5 2 And 2 3 Add To The Product You Get 7 12 What Is The Number
Introduction √10 2 Discuss what is 2 perform addition and Lapinid, MR Recall wrong with the 3 4√𝑥 √𝑥 CGrade 9 following answers of subtraction of radical The teacher will give examples from the previous 4 3 4√𝑥 − 6√𝑥 Mathematics students expressions topic 53 (7) (32) (17)√3 x² 10x 7√3 = 0



Fractions Addition Calculator



Rd Sharma Solutions Class 9 Maths Chapter 3 Rationalisation Updated For 21 22
9√2 4√2 = 5 √2 6 If a square root is moved from side of the equation to the other side, it will become square √x = a x = a 2 7 If a square is moved from side of the equation to the other side, it will become square root y 2 = b y = √b 8 If the digit in one's place of a number is 2, 3, 7 or 8, then the number can not be a Find the value of a and b if (52√3) / (74√3) = a b√3RS Aggarwal Solutions for Class 10 Maths Chapter 4 Quadratic Equations Question x² 2√2 x – 6 = 0 Solution Question 21;



Laws Of Exponents Exponent Rules Exponent Laws Definition Examples



Solve Solve Linear And Quadratic Equations With Step By Step Math Problem Solver
Number Systems Class 9 MCQs Questions with Answers Question 1 Question 2 Question 3 Question 4 Find the value of Question 5 Question 6 When 15 is1 What is the conjugate of √5 √3 a) √5√3 b) √5 −√3 c) √√5× 3 d) √ 9 √ 7 2 By rationalising the denominator of √ 6 √ 9 √ 7 Salma got the answer a) √ 6 √ 9 −√ 7 b) √ 6(√ 9 −√ 7) 6 c) √5 −√3 d) √ 6(√ 9 √ 7) 6 3 Anil applied identity to solve (√5√7)(√5−√7) 4Adapt their work that states −3𝑘−2𝑘=−5𝑘 and record −3√35−2√35=−5√35 3 At this point, the students should turn and talk with a partner to generalize what happens when you add or subtract two radical expressions with the same radicand/index 4



Free Math Answers Answers Within 24 Hours Step By Step Explanations



Maharashtra Board Class 9 Math Chapter 3 Polynomials Solution
A Yes b No c Cannot be explained d None of the aboveSolution Verified by Toppr (2 3 −5 2 ) and ( 3 2 2 ) By adding both =(2 3 −5 2 )( 3 2 2 ) On further calculation =(2 3 3 )(−5 2 2 2 ) So we get =(21) 3 (−52) 2 By simpification =3 3 −3 2 Was this answer helpful?The numbers which cannot be expressed in the form p/q where q ≠ 0 and both p and q are integers, are called irrational numbers, eg √3, π, etc According to Pythagoras theorem, in a right angled triangle, the square of the hypotenuse is equal to the sum of the squares of other two sides containing right angle



Simplify 7 3 10 3 2 5 6 5 3 2 15 3 2 Sarthaks Econnect Largest Online Education Community



Systems Of Equations With Substitution 9x 3y 15 Y X 5 Video Khan Academy
(85 √2)/(32 √2) = 5414 is the answer Apart from the stuff given above , if you need any other stuff in math, please use our google custom search hereClick here👆to get an answer to your question ️ Prove that √(2) √(3) is irrationalGiven, =−√3𝑖 Consider, 𝑟cos𝜃=−√3and 𝑟sin𝜃=1 Class – XI – CBSEMathematics Complex Numbers and Quadratic Equations Secondary School answer answered Add 2√2 5√3 and√2 3√3 2 See answers report flag outlined bell outlined Log in to add comment Write the result in scientific notation Multiply (8•10^3)(7•10^5) A56•10^16 B56•10^9 C15•10^16 D15•10^9 Is the



Solving Square Root Equations No Solution Video Khan Academy



Simplify The Following 3 5 10 9 4 5 1 8 2 2 15 1 Mathematics Topperlearning Com Elrzm8jj
State, in Each Case, Whether True Or False √2 √3 = √5 Mathematics Shaalaacom Advertisement Remove all ads The present paper is focused on the (2√3 × 2√3)R30° structures obtained after deposition of silicon with substrate temperatures at 390 °C, 370 °C and 270 °CFrom a detailed analysis of STM images (low and high resolutions) and from LEED observations, we propose in this paper a comprehensive atomic model of the silicene layer forming the (2√3 × 2√3)R30° structure2(x 32)−3x 2x2 √ x3 2 = 4−x 2x2 √ x3 2 So long as x > 0, the term on the right is negative, so we see that f is a decreasing function Therefore, the terms of the sequence are decreasing in absolute value To see that the terms are going to zero, we need to show that lim n→∞ n √ n3 2 = 0 In the lefthand side, multiply both



Rd Sharma Solutions For Class 8 Chapter 1 Rational Numbers Download Free Pdf



Add 2 3 5 2 And 3 2 2
Add 2√2 5√3 and√ 23√ 3 chotudevsingh1234 chotudevsingh1234 Math Secondary School answered Add 2√2 5√3 and√ 23√ 3 2 See answers Advertisement Polynomial Division Calculator is a free online tool that shows the division of two polynomials with Polynomial long division method Question 3 If p(x)= x 2 – 2√2x1, then find the value of p(2√2) Solution Put x = 2√2 in p(x), we obtain p(2√2) = (2√2) 2 – 2√2(2√2) 1 = (2√2) 2 – (2√2) 2 1 = 1 Question 4 Find the value of m, if x 4 is a factor of the polynomial1 2sqrt(2)1/ 2sqrt2 First multiply bu sqrt(2) ==> 2sqrt(2)*sqrt2 1*sqrt2/2sqrt2*sqrt2 ==> (2*2 sqrt2)/2*2 ==> (4sqrt2)/4 ==> 1sqrt2/4 2 3sqrt2 2sqrt3



Math Tricks Explained The New York Times



Q5 For Each Of The Following N Lido
10 10 APPLICATIONS 11 PURPOSE Full Body Harnesses are to be used as components in Personal Fall Protection System designed to prevent a fall or safely arrest a fall (see Figure 2) Full Body Harnesses are used in the following applications A Class A Fall Arrest The full body harness is used as a component of a personal fall arrest systemPersonal fall arrest systems typically includeRationalize the denominator and simplify 7√3/(√10 √3) 2√5/(√6 √5) 3√2/(√15 3√2) asked in Number System by VinodeYadav ( 357k points) number system For example, √5 x √5 = 5 or √44 x √44 = 44, similarly, √2 x √2 = 2 Some important points on the square root are given below i) A square root of a number n is a number m which, when multiplied by itself, equals n ii) The square roots of 36 are 6 and – 6 because 6 2 = 36 and (– 6) 2 = 36 iii) If m 2 = n, then m is a square root of n



Add 2sqrt 2 5sqrt 3 And Sqrt 2 3sqrt 3 Youtube



Python Challenges 1 Exercises Practice Solution W3resource



Simplify 7 3 10 3 2 5 6 5 3 2 15 3 2



1



How To Find 1 2 1 4 1 8 Video Lesson Transcript Study Com



3 5 3 2 5 A 5 19 11 Find Values Of A Brainly In



Real Numbers Geeksforgeeks



Add 2 4 5 And 3 5 6 Youtube



Add 2 3 5 5 7 7 And 3 5 3 7 Brainly In



Example 11 Add 2 4 5 And 3 5 6 Chapter 7 Class 6 Teachoo



Assume 5 3 2 9 2 4 1652 8 6 3 4466 5 4 5 2541 What 7 2 5 Quora



Proof 2 Is Irrational Algebra Video Khan Academy



Simplify 8 2 3 5 3 2 6 3 Brainly In



Rationalize The Denominator And Simplify I 3 2 3 2 Ii 5 2 3 7 4 3 Sarthaks Econnect Largest Online Education Community



Simplify I 5 3 8 3 Ii 9 5 4 5 125 Iii 7 48 27 3 Iv 7 3 5 7 2 7 Sarthaks Econnect Largest Online Education Community



Simplify 2 3 5 2 3 5 By Rationalising The Denomination Brainly In



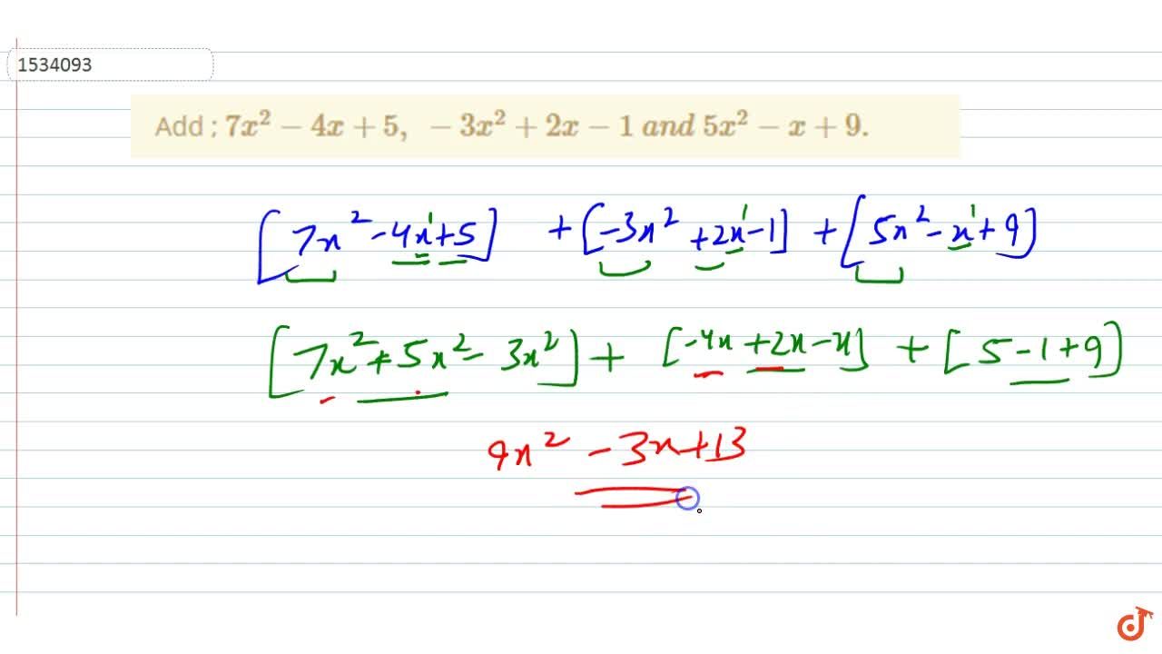
Add 7x 2 4x 5 3x 2 2x 1 A N D 5x 2 X 9



Simplify 3 5 5 2 4 5 3 2 With Video Teachoo Rationalising



How To Add And Subtract Square Roots 9 Steps With Pictures



3 Number What Is There To Know Adding It Up Helping Children Learn Mathematics The National Academies Press



Add 2 2 5 3 And 2 3 3 Brainly In



Find The Values Of A And B If 7 3 5 3 5 7 3 5 3 5



Example 11 Add 2 4 5 And 3 5 6 Chapter 7 Class 6 Teachoo



Add 3 2 7 3 And 2 5 3 Brainly In



Simplify 3 3 2 2



Prove That The Following Are Irrational I 1 2 Ii 7 5 Iii 6 2



How To Add And Subtract Square Roots 9 Steps With Pictures



Chapter 1 Xyz Custom Plus



What Is The Rational Number Between 1 4 And 1 2 Quora



Chapter 1



5 3 2 5 3 3 A B 15 Solve The Given Equation And Find Values Of A And B Youtube



What Is The Solution Of 2 3 2 3 Quora



Rd Sharma Solutions For Class 7 Maths Chapter 5 Operations On Rational Numbers Download Free Pdf



Solve Equations With Square Roots Elementary Algebra



Expert Verified 5 2 3 7 4 3 A B 3 Find The Value Of A And B Of The Following Brainly In



Simplify The Expressions 1 4 9 2 5 3 5 6 4 2 3 2 11 2 8 3 4 2 5 Youtube



Add 2 3 5 2 And 3 2 2 2 2 5 3 7 5 And 3 3 2 5 2 3 7 1 2 2 6 11 Youtube



Simplify 7 3 10 3 2 5 6 5 3 2 15 3 2 V



Add 2 4 5 And 3 5 6 Youtube



Add 2 3 7 1 2 2 6 11 And 1 3 7 3 2 2 11 Brainly In



Rational Numbers Definitions Properties Types Examples



1



Solve I 2 3 5 Ii 4 7 8 Iii 3 5 2 7 Iv 9 11 4 5 V 7 10 2 5 3 2 Youtube



Simplifying Square Root Expressions No Variables Video Khan Academy



Example 13 Add 2 Root2 5 Root3 And Root2 3 Root3 Examples



Simplify 3 8 7 2 3 5 9 8 3 2 6 5



Simplify 7 3 10 3 2 5 6 5 3 2 15 3 2



Problem Solving If 3 2 7 5 4 23 7 6 47 And 9 8 79 To What Is 10 9 Equal Quora



1



Add 2 Root 2 5 Root 3 And Root 2 3 Root 3 Youtube



How To Add And Subtract Square Roots 9 Steps With Pictures



Simplify 4 5 6 2 3 8 3 7 12



Find The Values Of A And B If 7 3 5 3 5 7 3 5 3 5



Add 2 Root 2 5 Root 3 And Root 2 3 Root 3 2 2 5 3 And 2 3 3 Youtube



Ncert Solutions For Class 9 Maths Chapter 1 Number Systems In Pdf



Prove That 3 2 5 Is Irrational Quora



Add 3 2 7 3 And 2 5 3 Brainly In



Square Root Wikipedia



Simplify 3 5 5 2 4 5 3 2 With Video Teachoo Rationalising



Order Of Operations



Add 2 Squareroot 2 5 Squareroot 3 And Square Root2 Square Root 3 Brainly In



Rationalize 1 7 3 2 Maths Questions



7 3 5 2 Upon 48 18 Simplify By Rationalising The Denominator Brainly In



Simplifying Square Root Expressions Video Khan Academy



Simplify 4 2 15 3 2 3 5 10 3 5 5 6 5 Brainly In



Add 2 2 5 3 And 2 3 3 Youtube



How To Add And Subtract Square Roots 9 Steps With Pictures



Simplify I 4 Root 7 3 Root 2 Ii 3 Root 3 5 Root 2 Iii Root 5 2 Root 3 Root 5 Youtube



If Math 5 4 23 Math Math 8 1 63 Math Math 6 16 32 Math Math 9 9 78 Math And Math 3 9 6 Math Then What Is The Value Of Math 3 81 Math Quora



If 5 2 3 7 4 3 A B 3 Then The Value Of A And B



How To Add And Subtract Square Roots 9 Steps With Pictures



Multiply 3 Root 5 By 2 Root 6 Root 15 By 4 Root 5 2 Root 6 By 3 Root 3 3 Root 8 By 3 Root 2 Youtube



Example 16 I Simplify 5 7 2 5 Class 9 With Video



If X 3 2 2 Then What Is The Value Of X 1 X Quora



Numbers In Python Real Python



How To Sum 1 1 2 3 1 2 3 4 1 3 4 5 For Up To 10 Terms Quora


0 件のコメント:
コメントを投稿