X, y={1, 2} PREMISES 3y=2x8 and xy=1 A system of two simultaneous linear equations in 2 variables CALCULATIONS 3y=2x8 and xy=1 x=1y in terms of y 2x3y=8 and xy=1 (2x3y=8)2(xy=1) (2x3y=8)(2x2y=2) 2x3y2x2y= 3y2y=10 5y=Y=2x12;y=x8 Simple and best practice solution for y=2x12;y=x8 Check how easy it is, to solve this system of equations and learn it for the future Our solution is simple, and easy to understand, so don`t hesitate to use it as a solution of your homework Get an answer for 'Find the area bounded by y=8x^2 and y=x^2' and find homework help for other Calculus questions at eNotes
How To Find The Area Enclosed Between The Line Y 2x 8 And The Curve Y X 2 3x 4 Quora
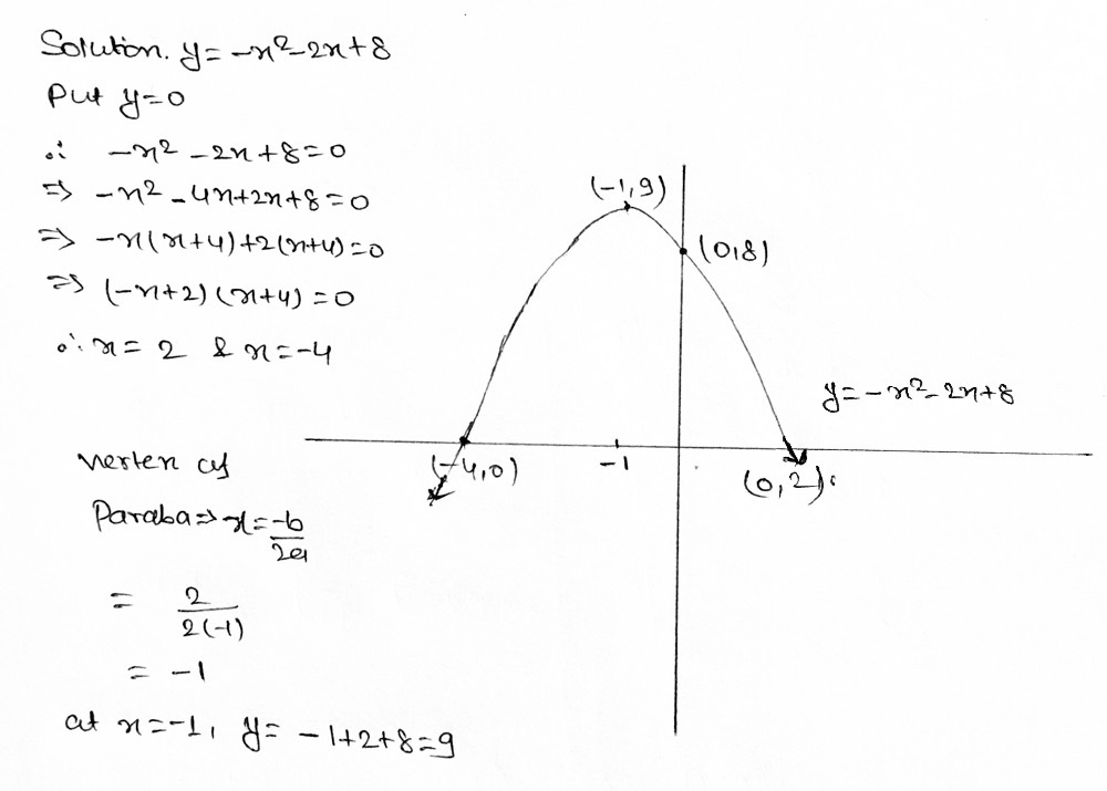
Y=x^2-2x-8 in factored form
Y=x^2-2x-8 in factored form-Graph y=2x8 y = 2x − 8 y = 2 x 8 Use the slopeintercept form to find the slope and yintercept Tap for more steps The slopeintercept form is y = m x b y = m x b, where m m is the slope and b b is the yintercept y = m x b y = m x bAnswer to Using Green's Theorem, calculate the area of the region bounded above by y= 2x and below by y = 8 x 2 Show steps By signing up,



Show All Work 19 For The Function Y X2 2x 8 Chegg Com
Solution for x^(2)2xy=8 y=2x Solutions of the system as ordered pairs Q The following is a partial balance table for a simple interest account that deposits the interest ev A Given that the partial balance table for a simple interest account that deposits the interest every Resolve to a quadratic in x and solve to find (x, y) = ((5sqrt(1215))/, (135sqrt(1215))/60) (with matching signs for ) Subtract the second equation from the first to get 6y 2x 13 = 0 Subtract 2x 13 from both sides to get 6y = (2x13) Divide both side by 6 to get y = (2x13)/6 Substitute this expression for y in the first equation to get 0 = x^2 (2x13)^2/36 (2xGet stepbystep solutions from expert tutors as fast as 1530 minutes Your first 5 questions are on us!
8−x2−y2 and below by paraboloid z = x2y2 Surfaces intersect on the curve x2 y2 = 4 = z So boundary of the projected region R in the x−y plane is x2 y2 = 4 Where the two surfaces intersect z = x2 y2 = 8 − x2 − y2 So, 2x2 2y2 = 8 or x2 y2 = 4 = z, this is the curve at the intersection of the two surfaces Therefore, theFind the zeros of the quadratic polynomials x^2 2x 8 and verify the relationship between the zeros and the coefficients Get the answer to this question and access a vast question bank that is tailored for students The curve thus obtained represents the graphs of the polynomial f(x) = x 2 2x 8 This is called a parabola The lowest point P, called a minimum points, is the vertex of the parabola Vertical line passing through P is called the axis of the parabola Parabola is symmetric about the axis So, it is also called the line of symmetry
1 y 2x = 8 2 y x = 2 Graphic Representation of the Equations 2x y = 8 x y = 2 Solve by Substitution // Solve equation 2 for the variable y 2 y = x 2 // Plug this in for variable y in equation 1 1 (x 2) 2x = 8 1 3x = 6 // Solve equation 1 for the variable x 1 3x = 6 1 x = 2Factorcalculator Factor x^{2}2x8 en Related Symbolab blog posts Middle School Math Solutions – Equation Calculator Welcome to our new "Getting Started" math solutions series Over the next few weeks, we'll be showing how SymbolabShare It On Facebook Twitter Email 1 Answer 0 votes answered by AbhishekAnand (870k points) selected by Vikash Kumar Best answer



Solution It Says Quot Sketch The Graphs Using The Function And Three Points Two Roots And The Turning Point F X X 2 2x 8 F X X 2 2x 15



Solution Estimate The Roots Of The Equation Y X 2 2x 8
First, the expression needs to be rewritten as x 2 a x b x 8 To find a and b, set up a system to be solved ab=6 ab=1\times 8=8 a b = − 6 a b = 1 × 8 = 8 Since ab is positive, a and b have the same sign Since ab is negative, a and b are both negative List all such integer pairs that give product 8Precalculus We find the domain and range of the function f(x) = 1/(x^22x8) Two approaches are used the first uses the graph of the parabola y=x^2x8, Get an answer for '`g(x) = x^2 2x 8` Determine the open intervals on whcih the graph is concave upward or downward' and find homework help for other Math questions at eNotes



How To Find The Area Enclosed Between The Line Y 2x 8 And The Curve Y X 2 3x 4 Quora



The Curves Y 4x 2 2x 8 And Y X 3 X 13 Touch Each Other At The Point Sarthaks Econnect Largest Online Education Community
Step by step solution of a set of 2, 3 or 4 Linear Equations using the Substitution Method y=x4;y=2x8 Tiger Algebra Solver A parabola is the graph that results from p(x) = ax 2 bx c Parabolas are symmetric about a vertical line known as the Axis of Symmetry The Axis of Symmetry runs through the maximum or minimum point of the parabola which is called the Vertex (a) If the highway overpass is represented by x 2 – 2x – 8 Then its zeroes are (i) (2,4Notice that when x = 0 the value of y is 8/1 so this line "cuts" the y axis at y= yintercept = 16/2 = 8 Calculate the XIntercept When y = 0 the value of x is 16/1 Our line therefore "cuts" the x axis at x= xintercept = 16/1 = Calculate the Slope Slope is defined as the change in y divided by the change in x



Solved Directions State Whether Each Of The Following Equations Represents A Quadratic Function Or Not Justify Your Answer Equations Yes Justifi Course Hero



Chapter 6 Exploring Quadratic Functions And Inequalities Ppt Video Online Download
Calculus Calculus questions and answers Show that 2x 2 y' y = 0 X – 1 X – 1 Has the solutions Y1 = x e y2 = x2/3 anx7 n=0 Where a = 1 and an Зп — 8 An1, para todo n = 1, 2, 3, 3n What are the Radius of Convergence of these solutions? METHOD 1 ALGEBRA y = x2 − 2x −8 is quadratic in x a = 1,b = − 2,c = − 8 As coefficient of x2 is positive so, its graph will be mouth opening upward parabola Check discriminant of the quadratic to examine the nature of the roots D = b2 − 4ac D = 4 32 = 36X^45x^24=0 \sqrt{x1}x=7 \left3x1\right=4 \log _2(x1)=\log _3(27) 3^x=9^{x5} equationcalculator x^{2}2x=8 en Related Symbolab blog posts High School Math Solutions – Quadratic Equations Calculator, Part 1 A quadratic equation is a second degree polynomial having the general form ax^2 bx c = 0, where a



The Equation Of A Curve Is Y 2x 8 X 2 Show That The Normal To The Curve At The Point 2 2 Intersects The X Axis At The Point 10 0 Enotes Com



Www Insidemathematics Org Sites Default Files Materials Quadratic 09 Pdf
Solve a quadratic equation by graphing it directly from the Google search bar then looking for the xinterceptsY = x2 − 2x − 8 y = x 2 2 x 8 Find the properties of the given parabola Tap for more steps Rewrite the equation in vertex form Tap for more steps Complete the square for x 2 − 2 x − 8 x 2 2 x 8 Tap for more steps Use the form a x 2 b x c a x 2 b x The standard form of the circle equation is ( x h ) 2 ( y k ) 2 = r 2, where, (h, k) is the center of the circle, and r is the radius The equation is x 2 y 2 2x 8y 8 = 0 Write the equation in standard form of a circle To change the expression into a perfect square add (half the x coefficient)² and add (half the y coefficient)²to each side of the expression



Use The Graph To Write The Factorization Of X 2 2x 8 Brainly Com



X 2x 8 Determine What If Any Value To Assign Chegg Com
This video screencast was created with Doceri on an iPad Doceri is free in the iTunes app store Learn more at http//wwwdocericomThe first term is, 2x2 its coefficient is 2 The middle term is, x its coefficient is 1 The last term, "the constant", is 4 Step1 Multiply the coefficient of the first term by the constant 2 • 4 = 8 Step2 Find two factors of 8 whose sum equals the coefficient of the middle term, which is 1 8Given diffrential equation is => (D^ 2 4D 4) y = 8( e^ 2x sin2x x^ 2) Particular integral = 8e^ 2x/(D^ 2 4D 4) 8sin2x/(D^ 2 4D 4) 8x^2/(D^ 2 4D 4



Solution Solve By Graphing X2 2x 8 0



X 2 Y 2 2x 8y 8 0 Mathskey Com
Swap sides so that all variable terms are on the left hand side x^ {2}2x=y4 Subtract 4 from both sides x^ {2}2x1^ {2}=y41^ {2} Divide 2, the coefficient of the x term, by 2 to get 1 Then add the square of 1 to both sides of the equation This step makes the left hand side ofComplete the square in x and y, The general equation for a circle centered at (,) with a radius is Comparing, (,)=(,)Simple and best practice solution for Y=812x2x^2 equation Check how easy it is, and learn it for the future Our solution is simple, and easy to understand, so don`t hesitate to use it as a solution of your homework



Find The Area Of The Shaded Region U Y X 13 Ya 3 Y Chegg Com



Find The Equation Of The Quadratic Function That Chegg Com
Xy=8;xy=2 Simple and best practice solution for xy=8;xy=2 Check how easy it is, to solve this system of equations and learn it for the future Our solution is simple, and easy to understand, so don`t hesitate to use it as a solution of your homework If it's not what You are looking for type in the system of equations solver your ownY=x^22x8 Answer by jim_thompson5910() (Show Source) You can put this solution on YOUR website!Subtract y from both sides 2x=8y 2 x = 8 − y Divide both sides by 2 Divide both sides by 2 \frac {2x} {2}=\frac {8y} {2} 2 2 x = 2 8 − y Dividing by 2 undoes the multiplication by 2 Dividing by 2 undoes the multiplication by 2



Graph F X X 2 2x 8 Youtube



A Particle On The Parabola X2 2x 8 Is Moved From A Point P With Ordinate 7 To Another Point Q With Ordinate 9 What Is The Horizontal Distance Covered By This Particle Quora
Algebra Factor x^22x8 x2 − 2x − 8 x 2 2 x 8 Consider the form x2 bxc x 2 b x c Find a pair of integers whose product is c c and whose sum is b b In this case, whose product is −8 8 and whose sum is −2 2 −4,2 4, 2 Write the factored form using these integers (x−4)(x 2) ( x 4) ( x 2)The quadratic formula gives two solutions, one when ± is addition and one when it is subtraction x^ {2}2xy8=0 x 2 2 x − y − 8 = 0 This equation is in standard form ax^ {2}bxc=0 Substitute 1 for a, 2 for b, and 8y for c in the quadratic formula, \frac {b±\sqrt {b^ {2}4ac}} {2a}Solution for y2x=x equation Simplifying y 2x = 8 2x Reorder the terms 2x y = 8 2x Solving 2x y = 8 2x Solving for variable 'x' Move all terms containing x to the left, all other terms to the right



Graph The Parabola Y X2 2x 8 By Plotting The X A Gauthmath



Write The Equation In Vertex Form Y X 2 2x 8 Study Com
Graph y=x^22x8 Find the properties of the given parabola Tap for more steps Rewrite the equation in vertex form Tap for more steps Complete the square for The directrix of a parabola is the horizontal line found by subtracting from the ycoordinate of the vertex if the parabola opens up or downThe given curve y = x² 2x 8 When x = t y = t² 2t 8 Hence, the coordinates of K = (t, t² 2t 8) y' = 2x 2 Slope of tangent at point K = y' at (x = t) = 2t 2 Hence, equation of the tangent at point K is y (t² 2t 8) =Simple and best practice solution for y=2x8 equation Check how easy it is, and learn it for the future Our solution is simple, and easy to understand,



Solve X 2 2x 8 0 With Google Graph Youtube



Ex 6 3 15 Find Equation Of Tangent Line To Y X2 2x 7
In order to graph , we need to plot some points To do that, we need to plug in some x values to get some y values So let's find the first point Start with the given functionSolution for y = 2x ,2 y 4x – 8 = 0 Q In this problem, we'll walk through the steps to find the area of the rectangle bounded by The line A As per our company guidelines we are supposed to answer only first three subpartsKindly repost otStep by step solution of a set of 2, 3 or 4 Linear Equations using the Substitution Method 2xy=8;2xy=4 Tiger Algebra Solver



Algebra Graphs Plotting Points To Draw Straight Line Graphs We Can Use A Rule To Find And Plot Co Ordinates E G Complete The Tables Below To Find Ppt Download



File Y X 2 2x Svg Wikimedia Commons
The curves y = 4x 2 2x – 8 and y = x 3 – x 13 touch each other at the point_____ application of derivative;Find the Area Between the Curves 2xy^2=8 , x=y, Solve by substitution to find the intersection between the curves Tap for more steps Substitute for into then solve for Tap for more steps Replace with in the equation Solve the equation for Tap for more stepsX^2y^22x8y8=0 Found 2 solutions by Fombitz, solver Answer by Fombitz() (Show Source) You can put this solution on YOUR website!



Y X 2 2x 8 Xy Vertex Max Or Min Axis Of Symmetry Do Now 4 From Classwork Ppt Download



Solution How Do You Use A Table Of Values To Graph Y X 2 2x 8
Risolvi i problemi matematici utilizzando il risolutore gratuito che offre soluzioni passo passo e supporta operazioni matematiche di base prealgebriche, algebriche, trigonometriche, differenziali eSimple and best practice solution for y=x8;y=x2 Check how easy it is, to solve this system of equations and learn it for the future Our solution is simple, and easy to understand, so don`t hesitate to use it as a solution of your homework If it's not what You are looking for type in the system of equations solver your own equations and let us solve itX^ {2}\left (2y8\right)xy^ {2}8y=0 x 2 ( − 2 y − 8) x y 2 − 8 y = 0 This equation is in standard form ax^ {2}bxc=0 Substitute 1 for a, 2y8 for b, and y\left (8y\right) for c in the quadratic formula, \frac {b±\sqrt {b^ {2}4ac}} {2a} This equation is in standard form a x 2 b x



Answer Quickly The Graph Of F X X2 2x 8 Is Shown Which Of The Following Describes All Brainly Com



Quadratic Graphs Parabolas Ppt Download
2x4=8 2x4=8 1 Subtract 4 4 4 from both sides 2 x = 8 − 4 2x=84 2x = 8−4 2



Find The Area Bounded By The Curve Y X 2 2x 3 And The Line Y X 3 Youtube



Graphical Solution Page 17d



Solution Find The Vertex The Y Intercept And The X Intercept And Graph The Function Y X2 2x 8 It 39 S X Squared



The Curve Y 2 Sqrt X 4 2x 3 3x 2 2x 1 X 2 Represents



Use The Graph Of The Function Y X2 2x 8 To Determine The Solutions Of The Quadratic Brainly Com



Solution 3 The Graph Of Y X 2 2x 8 Intersects The X Axis At 1 2 And 4 2 2 And 4 3 2 And 4 4 2 And 4 Please Show Steps



Document



Solution In A Graph Of Y X 2 2x 9 How Would One Find The Vertex Of This Graph Your Help Would Be Sincerely Appreciated



Show All Work 19 For The Function Y X2 2x 8 Chegg Com



Solution Use The Graph Of Y X 2 2x 8 Does This Function Have A Maximum And Minimum And If So What Are They



Factor X 2 2x 8 Youtube



Solve X 2 2x 8 0 With Google Graph Youtube



File Y X 2 2x Svg Wikimedia Commons



Draw The Graph Of The Polynomial F X X 2 2x 8



Solve For X Use The Graphing Method 10 X2 2x Chegg Com



The Equation Of Normal To The Curve Y X 3 2x 2 4 At The Point X 2 Is Youtube



Quadratic Equations Algebra 2 Unit 3 General Equation



Solving Quadratic Inequations



For The Quadratic Function F X X2 2x 8 Answer Chegg Com



Y X2 2x 8 Y 0 Ploshad Figury Ogran Liniyami Shkolnye Znaniya Com



Ttm 10 Points Consider The Equation 1212 2x 8 X 4 The Picture Shows The Graphs Of Y Brainly Com



How Do You Graph Y X 2 2x 3 Socratic



View Question What Is The Vertex Of The Equation Y X 2 2x 8



1 Consider The Function F X X2 2x 8 A What Are The X Intercepts Of The Graph Of The Brainly Com



Search Q Vertex Form Tbm Isch



Draw The Graph For The Polynomial P X X2 2x 8 And Find The Zeroes Form The Graph Brainly In



Solution I Am Having Some Trouble Graphing This Eqaution Y X 2 2x 8 The Question Asks That I Find The Y And X Intercepts And The Vertex I Got The X Intercepts At 4 And 2



Chapter 6 Exploring Quadratic Functions And Inequalities By



How Do You Solve Sqrt 2x 8 X Socratic



A Portion Of The Graph Of F X X2 2x 8 Is Shown Which Of The Following Describes All Brainly Com



How To Find The Domain And Range From Y X 2 2x 8 Quora



Http Www Manhassetschools Org Cms Lib8 Ny Centricity Domain 710 Group work 59 63 solutions Pdf



1 The Variables X And Y Are Connected By The Gauthmath



Show That The Circles X 2 Y 2 2x 8y 8 0 And X 2 Y 2 10x 2y 22 0 Touch Each Other Youtube



Find The Range Of The Expression Y X 2 2x 8 X 2 4x 5 Forall Permissible Value Of X



9 61 Consider The Functions F X X 2 2x 8 And G X 2 5x Ppt Download



6 Y X2 3y 2x 16 1 6 2 4 2 4 Y 2x 8 0 Chegg Com



Find Factored Form And Vertex Of F X X 2 2x 8 Youtube



Find The Area Of The Shaded Region Y 2x 2 X 6 Y X 2 4 A 11 6 B 9 2 C 8 5 D 19 3 Study Com



Solve By Completing The Square X 2 2x 8 0 Solving Quadratic Equations Youtube



1 Simplify Place Answer In Standard Form 8x 2 5 3x 7 2x 2 4x 6x X 6x 2 7x 2 Note The Subtraction Must Be Distributed Ppt Download



Exploring Quadratic Functions Ppt Download



The Tangent To The Parabola Y X 2 2x 8 At P 2 8 Touches The Circle X 2 Y 2 18x 14y Lambda 0 At Q The Coordinates Of Point Q Are



What Is The Axis Of Symmetry And Vertex For The Graph F X X 2 2x 8 Socratic



How Do You Graph Y X 2 8x 16 Socratic



How To Find The Area Of The Region Enclosed By The Graphs Of Y 8 X 2 Y 7x And Y 2x In The First Quadrant Quora



For The Function F X X 2 2x 8 Find The Chegg Com



Find The Derivative Of Y X 2 X 8 W R T Corresponding Independent Variable Brainly In



Draw The Graph Of Y 2x 2 X 6 Mathskey Com



How Do You Find The Vertex Of The Parabola Y 2x 2 8x 7 Socratic



Www Insidemathematics Org Sites Default Files Materials Quadratic 09 Pdf



Graphical Solution Page 17d



Quadratic Equations A Quadratic Is Any Expression Of



Solution The Graph Of The Equation Y X 2 2x 8 Where Does It Intersect The X Axis



1 Solve X2 2x 24 0 Answer 4 2 Solve 8 3x 5 Ppt Download



Question 9 Of 10 Solve The System Of Equations Y 2x 1 Y X2 2x 8 A 0 1 And 2 5 B Brainly Com



Which Is The Graph Of The Inequality Y X2 2x 8 Chegg Com



1



Quadratics Polynomials Of The Second Degree Topics In Precalculus



Air Graph On The Graph Pap 1 Y X2 2x 8 Ii Y 3x Gauthmath



Ex 6 3 7 Solve 2x Y 8 X 2y 10 Graphically Ex 6 3



Consider The Following Equations Y X2 2x Chegg Com



Functions Domain And Range By Mr Porter Ppt Download



16 Solve 3x2 2x 8 0 17 Given F X X2 2x 5 Chegg Com



1



Answered Standard Form Of F X X2 2x 8 Bartleby



Graph The Following Rational Function X3 12x2 48x Chegg Com



Please Help Graph The Systems Of Equations 2x Y 8 Brainly Com



Select The Correct First Step When Using The Subst Gauthmath



Y X 2 2x 8 Postroite Grafik Funkciipozhalujsta Pomogite Kak V Kartinke Shkolnye Znaniya Com



X2 2x 8



Http Www Tatecountyschools Org Userfiles 157 Classes 850 A3 7 6 solving quadratic equations Pdf Id



How Do You Solve A System Of Equations Using Substitution If One Equation Is A Quadratic Virtual Nerd Can Help



Complete The Ordered Pairs In The Table Below And Chegg Com



Draw The Graph Of Y X 2 2x 3 And Hence Find The Roots Of X 2 X 6 0



Solution Solve X2 2x 8 0 By Graphing The X Intercepts Are And



What Is The Graph Of The Parabola Represented By Y 2x 2 8x 9 Socratic



How Do You Solve The System 2x Y 8 And 2x 3y 8 By Substitution Socratic


0 件のコメント:
コメントを投稿